Сегодня, 11 сентября, филиалом «Макеевское ПУВКХ» ГУП ДНР «Вода Донбасса» проведены работы по устранению порыва холодного водоснабжения в районе жилого дома № 9 по ул. Бачурина. #ЕРДНР #ЕРМакеевка #ЕР80 #чистая_страна #городская_среда // ОД ДР Кировский р-н г. Макеевка
Официально
В ходе занятия дошкольники совершили увлекательное путешествие по родному городу с помощью фотографий. Ребята читали стихи о Макеевке, играли в игры...
Желаем нашему городу процветания, развития и удачи!#Макеевке_335
Юные макеевчане с радостью принимали участие в весёлых затеях и познавательных викторинах, проявляли чудеса эрудиции и смекалки, ловкости и силы! Глядя на будущих врачей, инженеров, учителей, военных, спасателей можно с уверенностью сказать:...
Макеевка всегда славилась талантливыми людьми. Многие выпускники общеобразовательных организаций и вузов добились впечатляющих успехов в самых разных сферах – от науки и бизнеса до искусства и спорта.Что же помогает выпускникам достигать высоких...
С Днём города, Макеевка! Сегодня Макеевке исполнилось 335 лет. Команда мобильных исторических парков «Россия – Моя история» поздравила город лично, подарив фестиваль «Проводник истории». Праздник получился ярким и насыщенным. Что происходило...
В Макеевском политехническом колледже при поддержке Института воспитания прошло занятие «Гордость Региона – Гордость России!», организованное по инициативе Федерального агентства по делам национальностей и Национального культурного...
О богатой истории России участникам мероприятия рассказали опытные экскурсоводы с использованием мультимедийных и интерактивных шоу-форматов. Тачскрин-панели, широкоформатный видеолекторий, цифровые реконструкции позволили не...
Совместно с коллегой, Игорем Матрусом , при участии активистов Региональной Общественной Организации «Народная Дружина» адресно доставили воду одиноким маломобильным членам семей погибших защитников и ветеранам боевых действий СВО, проживающим в...
по сбору мусора и уборке детских площадок в Советском районе;по уборке тротуаров и дорог по ул. Ленина, ул. Донецкой, ул. Московской, ул. Энгельса, ул. ХХ Партсъезда, ул. Кулабухова, ул. Островского, ул. Плеханова;по погрузке растяжек по ул. Ленина...
8 сентября, к Дню освобождения Донбасса, который Донецкая Народная Республика отметила 7 сентября, на линию вышли обновленные, восстановленные троллейбусы.Выпуск 5 единиц троллейбусов на муниципальные маршруты стал возможен благодаря...
Священнослужители вознесли искренние молитвы о мире, здравии и процветании каждого макеевчанина, обращаясь к мощам преподобного Илии Макеевского как к небесному заступнику.В торжественном...
Вниманию читателей представлена научно-популярная и художественная литература о Макеевке. Особое место занимают книги и сборники писателей-краеведов: А. Беженовой, Н. Хапланова, Н. Антипова и других.Книжная выставка способствует формированию...
Как отметила Юлия Крюкова, сотрудники учреждения поделились своими проблемами и предложениями:«Мы обсудили вопросы, связанные с ремонтом прогулочных площадок и обновлением методических материалов для детей. Сотрудники...
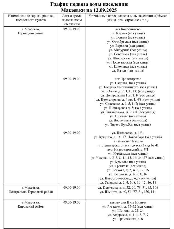
Завтра, 12 сентября, в Макеевке будет организован подвоз воды для жителей, в дома которых из-за недостаточного количества подаваемой воды не поступила вода в установленный графиком день.
Дорогие земляки, дорогие макеевчане!От всей души поздравляю вас с 335 -й годовщиной со дня основания нашего любимого города Макеевка.Желаю городу дальнейшего процветания, стабильности и мирного неба над головой.С праздником любимая Макеевка!
С наступлением осени традиционно возрастает риск заболеваемости гриппом. Это острое вирусное заболевание, которое поражает органы дыхательной системы и может привести к серьезным осложнениям. Помните о симптомах гриппа: Высокая температура (до 39–40...
планово-техническое обслуживание внутридомового газового оборудования по улицам: Руднева, Розы Люксембург в Центрально-Городском районе, в микрорайоне Зелёный в Горняцком районе, Папанина, Металлургическая в Кировском районе...


















